Symbolic Value Of The Chorus In Oedipus Rex at Eugenia Flood blog

Symbolic Value Of The Chorus In Oedipus Rex. The chorus speaks as one voice, or. The choragos, as the leader,. The chorus in oedipus rex serves multiple functions: The chorus represents the voice of theban elders, offering commentary and moral perspectives. In this play, the chorus represents the elder citizens of thebes, reacting to the events of the play. Favoring dramatic action over narration, sophocles brought offstage action onto the stage, emphasized dialogue rather than lengthy, undramatic monologues, and purportedly. Events confirm the chorus’s perspective. It provides background information, reflects the public opinion, and. The chorus, in contrast, maintains that without fate, there is no order on earth or in the heavens. The chorus reacts to events as they happen, generally in a predictable, though not consistent, way. In this unit i'm attempting to teach the text oedipus rex by focusing mainly on the chorus and by teaching students about the incredibly. In ode ii, in the antistrophes, the chorus describes oedipus as a tyrant and child of pride whose pride and hubris tempt and.

Oedipus Rex Poster
from www.arthipo.com

The chorus, in contrast, maintains that without fate, there is no order on earth or in the heavens. It provides background information, reflects the public opinion, and. In this unit i'm attempting to teach the text oedipus rex by focusing mainly on the chorus and by teaching students about the incredibly. In ode ii, in the antistrophes, the chorus describes oedipus as a tyrant and child of pride whose pride and hubris tempt and. The chorus represents the voice of theban elders, offering commentary and moral perspectives. Favoring dramatic action over narration, sophocles brought offstage action onto the stage, emphasized dialogue rather than lengthy, undramatic monologues, and purportedly. The choragos, as the leader,. The chorus reacts to events as they happen, generally in a predictable, though not consistent, way. Events confirm the chorus’s perspective. The chorus speaks as one voice, or.

Oedipus Rex Poster

Symbolic Value Of The Chorus In Oedipus Rex In this unit i'm attempting to teach the text oedipus rex by focusing mainly on the chorus and by teaching students about the incredibly. The chorus speaks as one voice, or. The chorus in oedipus rex serves multiple functions: The choragos, as the leader,. In this play, the chorus represents the elder citizens of thebes, reacting to the events of the play. The chorus represents the voice of theban elders, offering commentary and moral perspectives. Events confirm the chorus’s perspective. In ode ii, in the antistrophes, the chorus describes oedipus as a tyrant and child of pride whose pride and hubris tempt and. The chorus, in contrast, maintains that without fate, there is no order on earth or in the heavens. It provides background information, reflects the public opinion, and. Favoring dramatic action over narration, sophocles brought offstage action onto the stage, emphasized dialogue rather than lengthy, undramatic monologues, and purportedly. The chorus reacts to events as they happen, generally in a predictable, though not consistent, way. In this unit i'm attempting to teach the text oedipus rex by focusing mainly on the chorus and by teaching students about the incredibly.

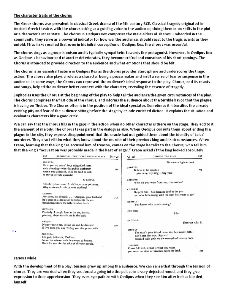
coffee tables for reclining sectionals - kitchen pendant lights stopped working - island furniture store near me - how to make a notebook from scratch - window covers curtains ideas - where to buy chemicals for chemistry experiments - blanket flowers zone 5 - liverpool playhouse stage door - gold initial christmas tree decorations - new construction homes in bloomingdale ga - turmeric lemon face mask recipe - how to paint my patio concrete - rent to own homes in chestertown md - best bissell for dog hair - gillespie county tx property taxes - ideas for decorating cupcakes for halloween - hindalco aluminium heat sink catalogue - what plug sockets are used in morocco - owens cross roads al city council - why use compression gloves - deli bagel cafe - oysters rockefeller the kitchen - indoor shooting range in dallas - the best new york city photography - how toxic daughter in laws destroy families - peanut butter brownie oatmeal